教育资讯

位置 : 首页 > 详情

高中数学求最值的方法全汇总!2021高考生一定要看!

浏览次数:19 时间:2021-01-13

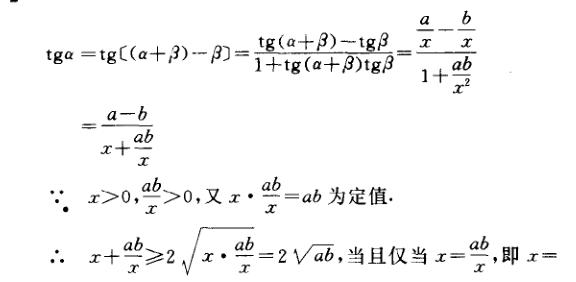
下面是为高中的学生们整理的2021高中数学求最值的方法,以供参考。


工作时间:周一至周六 08:30 - 17:00

Copyright © 2015-2021 Jtyhjy Inc. All Rights Reserved 赣ICP备17012273号-1 赣公网安备 36010802000190号 江西多宝格教育咨询有限公司 赣ICP备17012273号