位置 : 
>2024年中国科学技术大学少年班“创新班”入围考试数学试题及答案

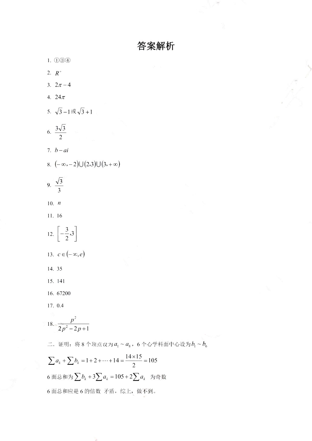
2024年中国科学技术大学少年班“创新班”入围考试数学试题及答案

点击:1 2024-03-13 来源:自主招生在线



3月9日上午,中国科学技术大学少年班学院举行了“创新试点班”、“少年班”入围考考试。小编特整理2024年中国科学技术大学少年班“创新班”入围考试数学试题及答案。

2024年中国科学技术大学少年班“创新班”入围考试数学试题及答案

2024年中国科学技术大学少年班“创新班”入围考试数学试题及答案


2024年中国科学技术大学少年班“创新班”入围考试数学试题及答案




本文章中的图片及内容均来源于网络,如涉嫌侵权,请联系网站管理人员删除。

Copyright © 2015-2021 Jtyhjy Inc. All Rights Reserved 赣ICP备17012273号-1 赣公网安备 36010802000190号 江西多宝格教育咨询有限公司 赣ICP备17012273号