2024中科大少年班及少创班一试物理试题出炉,难度如何?
少年班及少创班科学营第一阶段试题及考情
物理:6道大题,考点涉及液体表面张力系数、几何光学、质心运动等,物理不算太难,考点比入围考范围更全面。考试时间10:30-12:10
试题难度:物理相对可以,略难于入围考。
2024中科大少年班及少创班一试物理试题
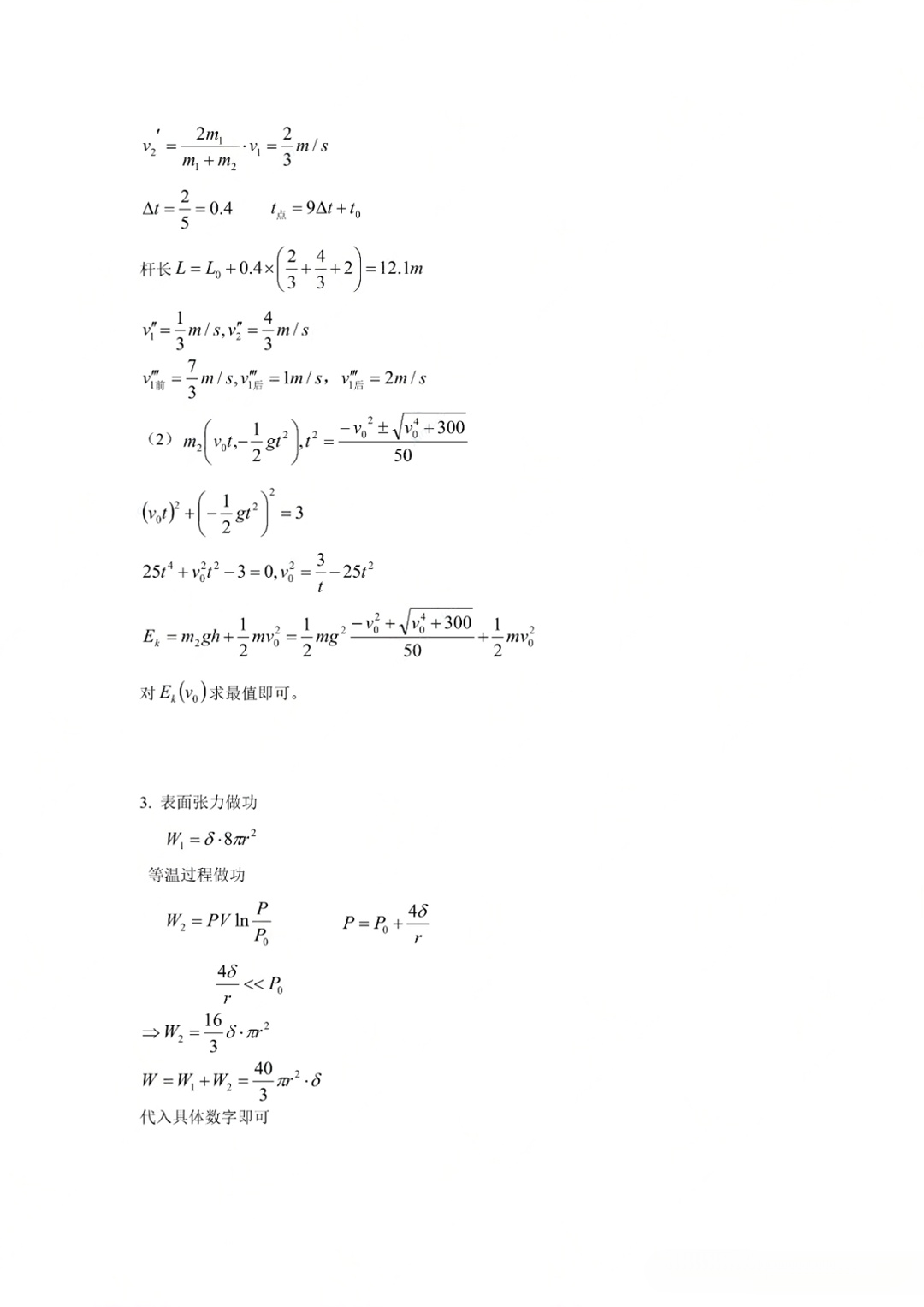
2024中科大少年班及少创班一试物理答案
本文章中的图片及内容均来源于网络,如涉嫌侵权,请联系网站管理人员删除。


赣公网安备 36010802000190号